民国时就有百岁老人被大总统授章,这个“长寿村”就在桐庐!
【村史沿革】·基本概况
分水镇
天英村

天英村村口
天英村,古称龙川坊, 属桐庐县分水镇,距分水镇城西1公里,东接城西村,南与塘源村接壤,西面是里(蠡)湖村,北面屏山阻隔,山背是砖山、富源等村地界。前溪与05省道穿村而过,水陆交通极为便利,风景秀丽。1949年为分水县武盛镇天英行政村,1956年新建乡天英高级农业社,1958年为红旗公社武盛管理处天英耕作区。1960年分水公社天英生产队,1961年10月建制天英大队,1984年合并为分水镇天英村委会。2004年行政村区域调整,新民村、天英村并为新天英村。辖天英、姜家边、温州棚、天英庙、三园、中渡、塘口溪、郭家村、牛坞、后初坞、新民11个自然村,25个村民小组,2016年有村民1098户3210人,人均纯收入26679元。
天英村总面积8.55平方千米,耕地面积129公顷,以种植水稻为主,兼种蚕桑、茶叶、甘蔗、西瓜等。村中有企业108家,以纺织、制笔、蜂胶等产业为主。近年来,随着新农村建设的不断深化,笔直宽阔的天英大道气势恢宏,新建的天英大桥亦颇具雄姿,处处显示出美丽乡村的新气象、新面貌。天英村也先后荣获“杭州市文明村”“杭州市创先争优先进党组织”“杭州市级基层组织建设示范村”等荣誉。

天英大道
【小村溯源】
分水镇
天英村

天英村全景
天英村有11个自然村,每个村名皆有据可寻。
天英因驻地命名,主产稻谷,产茶叶。
姜家边聚落于前溪北侧,呈棱块状。三面临田,南临前溪,姜家边至分水镇乡村公路从村北而过。清光绪年间,有一姜姓财主居住于此,后发展成村,以姓名村,故名姜家边。
温州棚聚落于庵堂坞山南麓,呈长块状。三面临田,北靠庵堂坞,新淳公路穿村而过,大部村民居于公路南侧。1902年温州籍人氏来此搭棚居住,为该村之始。
天英庙聚落于新淳公路南侧500米,四面环田,有老堰、长丰堰水沟,沿村西流入新堰沟。本村有庙,内塑商朝太师闻仲像,闻太师俗称天英公,故称天英庙,村以此得名。
三园位于镇政府驻地西,05省道公路旁。2005年,分水江库区原印渚镇法道、西华、贺州三村移民迁此建新村,故名。地处天英后家畈,又名后家畈。
中渡聚落于前溪北侧,呈长块状。三面临田,南临前溪,天英大桥建于村南侧。村临前溪,昔有渡口,地处分水至小五管中间,得名中渡,以此名村。道光年间何姓始居,建有何家祠堂。
塘口溪聚落于前溪南侧,呈五个散居点块状。三面环田,东靠山,村头有塘口溪桥,村以溪名。清道光年间江姓始居。
郭家村聚落于田畈之中,呈散点块状。四面临田。清咸丰年间,郭姓居此,姓氏名村。
牛坞聚落于牛坞坞中,呈燕窠状。三面临山,北临前溪。此坞原为牧牛地,故名牛坞,以坞名村。1883年,温州永嘉县周正啟来此定居。
后初坞聚落于后初坞中,呈散块状。四面临山,以坞名村。清同治年间毕姓来此开山定居,为该村之始。
新民聚落于戚家山南麓,呈蝶形块状。三面临田,北靠戚家山。1961年淳安港口公社移民来此重建新村,故名。
【龙川大观】
分水镇
天英村

牛坞自然村
天英村,古称龙川。弯弯曲曲的前溪从西向东流经天英村,水色如龙回旋,龙川山水为分水城西南胜景。前瞰平畴,后枕高阜,左凭大溪,右抱长林,诸峰罗列,一水带其前。川原盘错,广可数百亩;古树幽花,苍烟细雨中仿佛如画,此则龙川之大观。
天英村是西向蠡湖、儒桥、大路,南向塘源、雪峰、洪坑村必经之地。门前嚣尘户外,市声扰扰。村前村后,风雨培兰;栽桂浚池,触目成趣,天际宽广,时观云霞聚散;烟雨阴晴,夕阳出没,月浸清溪,苍翠绣错,澄鲜流丽,耕助晨出,牧樵晚归,乡村景色千态万状,行人莫不叹为观止。
前溪南岸有塘口溪、看牛畈、牛坞等自然村。宽阔毕直的天英大道向南伸向塘源村,2014年新建天英大桥,村民们往来更便捷。塘口溪村在前溪东南向,牛坞村在前溪西南向,从塘源村龙王庙、龙子桥流下的溪水在塘口溪与前溪交汇。俩村依山傍水,看牛畈有大片农田种植,山水田畴,风光秀丽。村民们春夜擎火把、拿电筒,在田沟里照捕泥鳅黄鳝,夏夜捉田鸡,秋夜捕石鸡,冬天捕钓鹧鸪、野兔,村民们常享天赐美食。
后初坞在天英村北面的屏山中间,两排青山夹垅,弯弯曲曲向里延伸,涧溪清沏,长约十余里地。那里空气清新纯净,是一个天然氧吧库,原生态的野趣,使人留恋忘返。
【镇龙祠】
分水镇
天英村

郭家村一角
天英村的古建筑颇多,有规模宏伟的何氏宗祠、飞阁流丹的张太尉祠、声灵赫濯的镇龙祠,有凤凰山延鸿寺、宋太守王知元墓、元亚中大夫、湖南宣尉使臧梦解墓、明处士何公廷器墓等。随着岁月的流逝,这些古建筑早已淡出人们的视野,留下的仅仅是老人们深深的回忆和闲时的谈资了。
镇龙祠又称天英庙,其神为天英,相传为天帝之子,有祷必应,盖一境之福神。天英庙中供有神像,双眼凸出,同时额头上长了一只眼睛,威严无比,使人看了胆战心惊。古时传说,凡是朝庭的官员经过,文官下轿,武官下马,一一进庙朝拜,保佑官员平安顺利,步步高升。信佛的百姓非常多,外出人保佑一路平安,生意人保佑生意兴隆,财源滚滚,种庄稼的保佑风调雨顺,来年有个好收成。镇龙祠在天英村,当地百姓习惯以村名庙,一直流传至今。
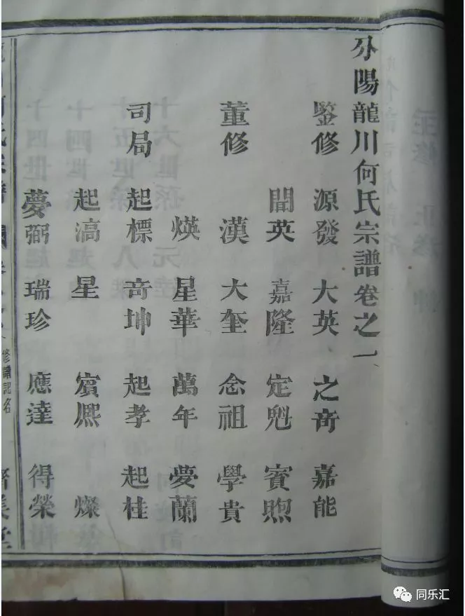
【龙川何氏宗谱】
分水镇
天英村

《龙川何氏宗谱》,又名《桐岭何氏宗谱》。明洪武年间(1368-1398),龙川何氏家族由安徽歙县迁徙至分水城西二里的凤凰山前龙川坊定居,后裔迁居桐岭、天英,始祖何森桂,字亦兰。
龙川何氏宗谱始修于明嘉靖三十八年(1559),曾先后6次续谱,最后修于民国三十五年(1946),共8册,现仅存6册。据说,这一宗谱能够得以保存至今,其中还有一个小故事。在上世纪六十年代中期的“文化大革命”中,何荣根老人弟媳怕这套家谱被毁掉,就用衣服包裹家谱,外面用塑料纸捆扎,再在外面套上塑料袋,挖土三尺埋在地下,直到“文革”结束后,才取出来重见天日。
据《龙川何氏宗谱》记载,何森桂第七代孙何云雁,为明嘉靖二十年登沈坤榜进士,仕工、吏、户部给事中,江西布政使参政。
现在何氏家族后裔分布在瑶琳镇琴溪、桐岭、珠村、毕浦,百江尹山,分水天英,桐君街道等地。
【明进士何云雁】
分水镇
天英村

何云雁(1508-1558),明分水县龙川坊(今分水镇天英村)人。何云雁父亲何鲁斋,为人豪迈不羁,有胆有识。曾任广东大鹏吏目。为官清正,政声卓著,扬名诸郡。因解押兵饷,未能在规定的时间里到达目的地,触犯军令,被捕入狱,等候受斩腰之刑。行刑之时,何云雁与兄弟何云龙及时赶到,并向刑官诉说,解押兵饷非是父亲一文弱书生可以堪任的,即使有误,但罪不致死,愿代父受刑。督刑的御史被兄弟俩的孝心所感动,怜悯之心油然而生,召云龙、云雁二人试以七艺,顷刻而就,御史大惊。审思案由,情有可谅。加之何氏兄弟天赋超群,触动御史爱才之心,当场释放了何鲁斋。何云雁为父白冤时年仅十七岁。

何云雁于嘉靖辛卯年(1531)选贡上,南雍庚子年(1540)乡试中举,辛丑年(1541)会试、殿试俱高等,中式进士(同科登进士的还有邑人陈鑨,时称“双桂联芳”)选入翰林院庶吉士。时阳峰张学士课试,极称赞何云雁文章有台阁风,通晓诸史百家典故。癸卯(1543)改工科给事中,首论“漕运抚臣不法事”,中外翕然,被称之为朝阳鸣凤。
北兵侵犯古北口紫荆关,明军奋起抗击,疆臣奏报兵将功罪失实,朝廷命何云雁前往勘核。经过认真仔细的调查,得知周尚文功劳最大却被排斥在外,总兵官卻涌拥兵玩敌而阴结奥援,何云雁将实情上疏朝廷,论涌死罪,列尚文功劳,疏上风采凛然。
何云雁乙巳年(1545)转左科给事中,丁未年(1547)会试同考官转户部都给事中,辛亥年(1551)阙补吏科居谏垣。他忠心耿耿披肝沥胆,前后多次向朝廷上疏,如陈安攘八事,兵法十四事及议改革盐法、屯田等章,切中时弊要害,为皇帝嘉纳。由于居谏垣时多忤权贵,于是遂中伤出。 癸丑年(1553)大察论劾,罢国子祭酒某,忤执政者意,改太常少卿,甲寅年(1554)迁南京通政使。又上备倭十事。丙辰年(1556)慧星变策免大臣,罢云雁官。何云雁回归故乡分水。第二年朝廷重起何云雁,任命他为四川兵备副使,未数月布德宣威,外患悉平。他除贪吏,建桥梁,美政未艾晋升江西布政司参政。在进见参与督府宴会时,不幸陡然疾作与世长逝,享年五十一岁。
何云雁一生著有《易学指南》及诗文若干卷。撰有《严州府重修钟楼记》《顺安桥记》《赠邑令陈公文》《进士桂峰陈公行状》等文稿。
【长林古堰】
分水镇
天英村

长林古堰,又称长丰堰,是一座横溪而卧的石堰,位于天英中渡自然村南面的前溪上。始建于南北朝时代的梁天监年间(约公元503—508),时分水尚未建县。山东寿光人任昉任新安(今淳安县)太守时(任昉:宋、齐、梁三朝著名的文学家、地理学家、小说家、目录学家、政治家),到分水体察民间疾苦,见前溪常有旱涝,致农作物受灾,且河道宽广,北岸又有大片土地,便发动群众,用肩扛人驮的土办法,先用大量松木在溪中打桩,再在水流中垒砌,建造了长达120余米,宽约10米,高3米多的拦河石坝,以此抬高水位,引流灌溉,堪称古代了不起的水利工程。
堰坝截拦的溪水,经北岸的引水沟渠(入口处有1人多深),蜿蜓曲折流经分水镇城区西门外和南门畈的大片土地,滋润着大片禾苗。该畈因土地平展,阳光充足,土质优良,再加上有堰坝引水灌溉,旱涝无忧,年年保收,一直来被人美称为“金不换”。万历二年分水知县方梦龙对长林堰重修。
长林堰设计合理,坚固结实,沟渠配套,它充分显示了古代劳动人民改造自然,发展农业生产的智慧、才能和力量。在雨量充沛的季节里,溢坝滚滚而下的流水,形成飞瀑,气势颇显壮观。
长林堰,一座积淀了深厚人文底蕴的古代石堰,历经1500多年风雨,滋润着分水这片土地,养育一方百姓,发挥着它独特的灌溉作用。
【凤凰山延鸿寺】
分水镇
天英村

印象延鸿寺
天英村北面有凤凰山,前龙(龙川水)后凤,龙凤呈祥。山麓有延鸿寺,周广顺三年(953)建,明洪武七年(1374)僧智静重建,顺治十六年僧真澄改造,清雍正十一年(1733)僧通达重修。
明时,延鸿寺曾建有何云雁书屋。延鸿寺后有宋太守王知元墓、元亚中大夫、湖南宣尉使臧梦解墓。王知元,字仲举,登熙宁六年(1073)进士。除溧水尉,移余杭令。管勾荆湖北路漕务,迁宣教郎,知越州剡县。剡俗信鬼多淫,知元齐以礼义,男女化之。辟京东西路检法,再迁湖州通判,后以朝奉大夫知南康,军摄府事,遇事条解。喜怒不见颜色,廉能闻于朝。将大用之,未及而卒。历官凡七迁,以年劳,赐绯衣银鱼袋,勋至骑都尉。
臧梦解至元间知海宁州,以贤能称。江阴饥,檄梦解赈之,全活甚众。擢广西廉访副使,绳贪墨,雪寃狱,多异绩。累迁江西廉访使,后以亚中大夫河南宣慰副使致仕。隐于分水瑞云山。
明邑人(永乐六年岁贡、峡江知县)戚礼有《南乡子》词:“古刹倚嵚岑,一坞空青护石林,溽暑凉生浑似洗,阴阴,别有乾坤岁月深。万木郁萧森,赤日行天午不侵,籁寂人稀无个事,沈沈,鸟语枝头送好音。”炎热的夏天,诗人们在延鸿寺避暑静读,欣听山林鸟语。
乡土先贤,生前喜爱在延鸿寺吟诗读书,身后选择在这里安寝,可见延鸿寺确实是块风水宝地。
【天英多寿星】
分水镇
天英村

前排中为百岁老人丁桂香
天英村,山清水秀,环境优美,民风淳朴。村民长寿者较多,其中90岁以上的老人近30人,百岁以上老人2人。民国时期叶益报,最高享年106岁。
民国六年(1917),叶益报老人百岁时,浙江巡抚使屈映光赠送送给他一件大红团花绸袍料,及猪肉、银圆等。分水县知事李洣、江西同乡会、分水县教谕分别赠送“乐此荣期”“熙朝人瑞”“笃厚可风”寿匾。民国十年(1921),叶益报一百零四岁时,时任大总统赠送给他题有“蔚为人瑞”的纪念章。叶益报老人百岁时,妻子刚好90岁,前来为两位老人祝寿的亲朋好友、社会贤达等三百余人。老人比老伴早死一年,后双双葬在白洋坪,坟前有一付石刻对联:夫妇齐眉百年偕老,儿孙绕膝五世其昌。
新中国成立后,特别是改革开放后,社会安定,人民生活水平普遍提高,村民们知足常乐,随遇而安,村中长寿者越来越多。丁桂香老人生于1915年10月,虽愈百岁,仍耳聪目明,步履矫健,常独自一人到邻居家串门或到2里多路的分水城中购物。她性格温和,饮食及生活规律有序,心态乐观。天英村中,至今仍健在的90岁以上的老人有7人,真是“古今双期颐,盛世多寿星”,天英村是名至实归的长寿村。
【天厨蜜源】
分水镇
天英村

杭州天厨蜜源保健品有限公司位于分水镇天英村,是分水镇农业龙头企业,掌门人郑春强。郑春强,天英村人。1978年11月,创建天英蜂场,养蜂10年,积累了丰富的实践经验。1987年,成立桐庐蜂产品贸易部。1999年,成立杭州蜜源保健品公司,开发蜂皇浆、蜂蜜、蜂胶、蜂花粉、蜂腊等产品,实现产品从粗加工到深加工生产模式的转变,提升蜂产品的附加值,延伸产业链。公司还从云南农业大学蜂业系引进4位大学毕业生,专门研发蜂胶软胶囊、蜂王浆口含片、蜂花粉片等产品。
2003年9月,杭州蜜源保健品公司与香港天厨有限公司合资成立杭州天厨蜜源保健品有限公司,建立现代企业管理制度,引进国内一流的生产线,“万事吉”蜂产品品牌在国内外逐渐打响,产品远销韩国、澳大利亚、日本、欧盟各国及香港地区。公司先后被评为“浙江省农业标准化示范基地”、“浙江省骨干农业龙头企业”、“浙江省农业科技型企业”等。
微村志内容:由县委党史研究室提供
微村志
“微村志”是由桐庐县地方志办公室(县委党史研究室)创办的一种史志编修新模式。其编纂从“微”字着手,本着“见微知著”原则,通过图文并茂的形式、开门办史的模式,来展现桐庐各个“美丽乡村”的特色亮点。
欢迎各位朋友扫描下方的官方微信,加入“桐庐微村志”,让我们一起来记录我们村的“微村志”吧!
欢迎推荐您的乡村!投稿邮箱:187229246@qq.com
联系方式:0571-64212736
0571-64219201
编辑:戴江影
中国第一长发村,百岁老人两米长发乌黑发亮,游客直呼:太假了 百岁老人
这儿是浪子的旅途国际,分享我的吃喝玩乐以及旅途所见所闻。

众所周知,我国是一个多民族的国家,就像那句歌词所唱的那样,56个民族56支花。对于汉族来说,一些比较小众的少数民族不一样的风土人情,则会吸引着咱们想要去看一看。并且,许多的少数民族,尽管人数并不多,日子的条件也不算好,可是在某一方面却非常的有优势,比方国内的第一长命村就是坐落偏远的少数民族地区,今天咱们就来说一说中国第一长发村,其实他们也是国际第一长发村。

假如你是一个经常出去旅游的当地,你会发现许多当地都会称自己是中国长命之乡,这就跟某个名人的故土一样,被许多城市争抢,为的就是吸引更多的游客来这儿玩耍。可是国际第一长发村却只有广西桂林这个山区偏僻的村寨里才敢这么自称,他们是经过吉尼斯国际纪录见证的国际长发村,这儿就是桂林黄洛瑶寨。?这个红瑶村寨因获吉尼斯总部颁发的“长发村”证书而名扬天下,成为龙脊梯田景区的又一个“国际一绝”。

黄洛瑶寨坐落广西桂林龙脊梯田景区内,金江河穿寨而过的黄洛瑶寨,这儿是红瑶族的聚集地,红瑶妇女自古就有蓄长发的习惯。黄洛瑶寨居住着瑶族的一个支系红瑶,因其以赤色为最美,以赤色为服饰的明显特征而得名。在黄洛瑶寨,你会看到当地的女子都将自己的长发盘在头上,可是盘发的形状又不尽相同,但大致分为三种,一种是未婚的女子,头发盘在头上,然后会用一个黑布包着;第二种是成婚后会将黑布取下来,头发盘一个圈;第三种则是生完小孩的会在在脑门处添上一个代表小孩的髻子。

来到黄洛瑶寨,红瑶族的女子很少会将自己的长发散开,所以想要直观感触长发的长度能够去观看他们的民族扮演,扮演在村寨的剧场里面进行,扮演一共有四部分,第一部分是特征瑶族歌舞扮演;第二部分是游客互动,男性游客亲自体会瑶族嫁娶;第三部分则是晒红衣。

扮演的第四部分则是游客们最为等待的展现长发, 这些瑶族女子,对她们来说,头发就如自己的身体,是不能轻易剪的,所以未婚女子在十八岁的时分才能将头发剪了,代表自己已成人。

当村中最为年长的老人秀出自己近两米的漆黑长发时,下面观看扮演的游客顿时议论纷纷,想不通一百多岁的老人怎样会有如此漆黑的长发,都怀疑她是戴了假发,你觉得这到底是保养的好还是假发呢?
全州蒋姓又多了一位百岁老人,蒋氏文化研究会正、副会长前往祝寿 百岁老人
俗话说," 山中也有千年树,世上难逢百岁人。"这话在以前也许是不错的,但现在逢百岁人却越来越容易了。永岁镇梅潭村是全州蒋姓两个主要发源地之一,2020年12月26日,在全州梅潭蒋氏文化研究会蒋连生会长、蒋国友副会长的沟通下, CCTV10科教频道系列纪录片"家乡至味"拍摄组的同志走进了全州县黄河沙镇大路底村,为蒋学德老人拍摄了百岁寿诞的视频。
时隔不久的2021年2月28日,又一位蒋氏老人百岁寿诞了,这位老人是国家级传统村落永岁镇慕道村,名叫蒋时有,这天年满101岁了。他是幕道村的第一位百岁老人。

蒋连生会长、蒋国友副会长到慕道村为老人祝寿
祝寿诗

寿堂里的寿联

全州蒋氏代表与百岁寿星蒋时有在拜寿大厅合影

在全州梅潭蒋氏文化研究会恭贺老人百岁寿诞的贺寿横额下合影

宾客代表与老人合影

老人有三子二女,好大一家!
其中有一支,是五世同堂了!

兄弟姊妹每一家轮流与老人合影

这真是幸福的时刻

这真是开心的时刻

国家好,人民才会有幸福!

国富民强,相信百岁老人会越来越多!
据了解,该村九十多岁的老人现在有十多位了。

敬老人

给老人拜寿

向老人拜寿者,老人都发红包

贺寿蛋糕

舞狮贺寿
老人101岁,眼明耳聪。问及长寿之法宝,这里人给他总结了两个法宝,一是心胸开阔,为人乐观。这让我想起发那句话:“大肚能容,容天下难容之事;开口便笑,笑世上可笑之人!"
蒋时有老人第二个长寿法宝,是坚持劳动,时达百岁,仍劳作不休。

蒋时有老人健步如飞

作拐棍是他的一项劳动

他天天坚持作

都是他做的

蒋连生会长与蒋时有老人合影
祝蒋时有老人再活一百岁!祝更多的全州蒋氏迈入百岁老人之列!
蒋廷松