曾为最早的三所国立大学堂之一,现在却只是省属重点——山西大学
我国创办最早的三所国立大学堂,除了现在有名的北京大学和天津大学之外,山西大学堂也占有一席,可想而知,当年山西大学的地位,而如今,也只是山西省重点建设大学。

今天咱们就来说一下,究竟是因为什么,致使曾经风光无限的山大,最后沦为如此地步?甚至被分出去的太原理工大学都成了211,而自己仍旧默默无闻。
百年山大的历史相对于之前讲的中山大学,山西大学的历史不是太复杂。
在清朝末期的1901年,政府有令:各省所有书院于省城均设大学堂。当时的山西巡抚,相当于现在的省委书记岑春煊,就把当时太原的晋阳书院和令德堂书院合并,进行筹办。最终,在1902年,山西大学堂成立。

在这里,稍微说一下岑春煊这个人,也是近代史上有名的政治人物,并且还是一个“官二代”,父亲是之前的云贵总督,总督是比巡抚还要高一级的,掌管着好几个省,侧重军事。岑春煊不仅有背景,还立了大功,在八国联军侵华战争时,安全护送慈禧和光绪帝到了西安,之后便担任了陕西巡抚,次年又出任山西巡抚。
山西大学堂成立后不久,岑春煊和李提摩太又为学校增设了西斋,并且还在上海成立了译书院。在那个时候,山西大学堂、北洋大学堂、京师大学堂成为了最早的三所国立大学堂,开启了我国高等教育的新征程。
1912年,改名为山西大学校;1918年,改为国立山西大学;1931年,改为山西大学。

之后的日本侵华,致使山大几经迁徙,甚至停办。从太原到晋南,再到陕西,最后1946年4月,才重新返回太原,一路波折。
从1914年到1939年,有山西省省立工业专门学校、山西省省立法学院、川至医学专科学校等6所学校并入其中,1949年春,中国大学理学院并入山大。
至此,山西大学基本形成了院系调整前的规模,拥有文、理、医、工、法五个学院。虽然早已不是20世纪初,可以标榜自己是三所国立大学堂之一,但在山西,绝对的老大哥,排在首位毫无争议。那在1952年开始院系大调整之后,山大又被分成了哪些学校呢?

之前讲的南大和中大,在这次调整之后,至少还保留了自己的校名,而山西大学连名字都没有了。
文、理两院(含中文、历史、外语、教育、数学、化学、生物7个系及中文、史地、数学、理化、生物、体育5个专修科)合并,改称山西师范学院;
医学院独立建院,为山西医学院,现为山西医科大学;
工学院(含土木工程、采矿工程、冶金工程、化工工程、机械工程、电机工程、纺织工程7个系)中冶金工程系参与组建新成立的北京钢铁工业学院,现为北京科技大学;
工学院其余部分(机械工程、电机工程、土木工程、化工工程4个系)独立建校为太原工学院,现为太原理工大学;
法学院改称财经学院(含经济、工商管理、会计3个系),后划归入中国人民大学;
农学院独立成立学院;
这次调整取消了山西大学建制,更名为山西师范学院,直到1959年,才再度组建山西大学。
1961年与山西师范学院合并,仍定名为山西大学。

经过院系大调整的山大,在之后的发展道路上,不像南大和中大一样,依旧在自己的地盘上排在榜首,而是慢慢被分出去的太原理工大学超越。不管是211,还是之后的世界一流学科建设高校的评选,都被太原理工抢走,昔日闻名全国的三所国立大学堂之一,现在变得默默无闻。

至于两次关键的评选山大都未能突围,被太原理工超越,这和1952年的院系调整其实也是一样,要适应发展。山西作为一个历来依靠煤炭发展的资源大省,当时把211给了太原理工,应该是希望一个工科院校可以更好的支持发展,如今再次把它选为“世界一流学科建设高校”同样要服务于山西这块转型发展的试验田。

再对比国家重点学科,山西大学为:光学和科学技术哲学;太原理工大学为:化学工艺、材料加工工程、采矿工程,同时还有国家双一流建设学科:化学工程与技术。
山大,作为曾经引领山西教育发展的老大哥,一步步被分出去的太原理工兄弟超越,也许倍感无奈。但更好的资源,总会给予更有利于地区发展的地方,在山西这个以煤炭和钢铁为主的省份,山大这所综合性大学,还能否再恢复往日的辉煌?

山大未来的征程,路途遥远,前路漫漫!
最早的3个国立大学堂,现在怎么样了,网友:山西大学落寞了 山西大学
中国有史以来,经济、社会等发展都是先进的,就连欧美各国也派各种传教士进入我国,学习各种治国理政经验,教育也不例外。直到近200年,才出现滑坡。越是艰难,越想着维新强国。19世纪末,我国大力办学,开办京师、北洋和山西大3个大学堂,这也就是中国大学的鼻祖,也就是现今的北大、天大和山西大学。现如今三个大学怎么样了?答案一定会让你大吃一惊。
京师大学堂——北京大学
3大学堂,都是皇室血统甚至军阀背景,成立至今已愈百年,京师大学堂可谓高校大哥;加上其在皇城根上,拥有的人才优势和资源优势,自然要强过山西和天津,是当时全国范围内的最高学府。1908年,京师大学堂一分为二,分别建立了现在的北师大和西北师范两个高校。1912年,北京大学正式更名,后来农科,又演变成了现在的中国农业大学。

发展至今,北京大学一如既往地在中国教育史上扎根繁衍,一直是国内外赫赫有名的高等学府,无数学子争相考取的名牌高校,无数人才仰慕的知识殿堂。
北洋大学堂——天津大学
北洋大学堂成立于19世纪90年代,当时全国渴盼革新,盛宣怀则请美国教育家丁家立出任总教习,开办了北洋大学堂,运用的是美国耶鲁大学、哈弗大学的教育理念。

如今,天津大学作为百年老校,既是全国985工程,也是211大学,即双一流高校。每年高考的省控线在520分左右,但最低录取分数基本维持在600分上下,在天津,紧排在南开大学后面,是一所名副其实的优质高效。
山西大学堂——山西大学
3个大学堂中,北大和天大不用赘述,都是“双一流”大学,享誉世界,学科设置也名震全国,而唯独山西大学有点“落寞”,与211失之交臂,又与“双一流”无缘,排名一度下降,从当时的全国第三,掉到了现在的全国100名上下,也就是一所普通大学。

可从山西大学的发展历史来看,不是本身不强,而是强势学科都被分流合并到其他高校了。山西大学堂,原本就是一个传教士,叫李提摩太,适逢庚子赔款,他就在山西创办了一个中西合璧的大学堂,即山西大学堂。1931年学堂改名为山西大学,当时就设有12大类91个本科专业。有人说如此规模的综合性大学,其没落是因为错过了发展机遇(比如错过211的评定)、缺少新鲜教育理念(比如师资力量清一色山西人)、地理位置不好(比如人才流动难、资源枯竭、经济结构单一),更有一种说法为:院系调整时好专业被“四分五裂”了,比如法律专业在北大、工学在北科大、经管在人大等等,才导致山西大学目前的落后态势。
揭秘山西大学堂前身 : 三立、晋阳、令德堂书院 山西大学
坊间流行的《中国高等教育史》《中国大学教育发展史》之类的著作,大多将中国大学的历史追溯至“三代之学”,或从西周“大学”谈起,或从汉代“太学”算起,即使像当今中国高等教育的重镇——北京大学的校史,像冯友兰这样的硕学鸿儒也强调:“北京大学的校史应该从汉代的太学算起。”

最近,国内各大学纷纷举行校庆,大多将历史尽量往前追溯,甚至有些不惜“改头换面”或“偷梁换柱”。此种现象实是国人“民族自尊”情结的显露:一个历史悠久的文明古国,居然只有百年的“大学史”,实在说不过去呀。
此种建构“悠久历史”的愿望可以理解,但无限地扩张却不值得提倡。因为中国古代的“大学”或“太学”,与“university" 存在巨大差异,中因近代新式大学的建立和大学制度的确立,实在是地道的舶来品( 参见陈平原《老北大的故事》,江苏文艺出版社1998 年3 月版)。
近代中国一些新式大学的成立,与前已存在的书院倒是有着直接或间接的联系,继京师大学堂( 今北京大学) 之后于1902 年成立的山西大学堂,最初就是由此前设在太原的晋阳书院和令德堂书院合并而成。

1907年的山西大学堂全景

晋阳书院与三立书院

“晋阳书院建自前明”。明万历初年,山西按察司副使利用巡抚衙门旧址,增建号舍,筑三贤堂, 祀奉讲学河汾、生长于河汾的三位先贤——王通、司马光、薛瑄,以此作为士子学习的榜样,并挂起“河汾书院”的牌匾。万历二十一年(1593 年),时任山西巡抚魏允贞在太原府沿西南右所街,又将三贤堂扩大为三立祠,祠奉明贤55 人,每年按规定日期和仪式致祭。三立书院由此确立。

山西大学堂首任督办沈敦和题写的校名
三立书院最初办得很有成效。万历二十七年(1599 年)庚子科乡试时,学员考中举人者多达50余人。崇祯初年,时任山西提学佥事袁继咸从考生中择录优等生250 人进入三立书院,并将三立祠名臣、乡贤续增至71人,袁为其各著一传,传后加以“袁临侯日”的评语,名其书为《三立祠传》。
袁继咸,字季通, 号临候,江西宜春人。办事公正,热心教育。他主持三立书院后,与士子互相讨论,朝夕劝课,生活上蔬食菜羹,与士子一致。袁氏不带家眷,节余薪俸,全数补助寒苦士子。士子得病,亲自慰问,并出医药费用,深得三立书院士子之拥戴。崇祯九年(1636 年)当袁氏遭诬陷被逮进京后,以傅山、薛宗周为首的山西百余青年徒步上京,为袁鸣冤,使袁案得以平反,此为有名的“伏阙讼冤”。崇祯十六年(1643 年),时任巡抚蔡懋德又对三立书院进行整顿,其中两大措施最为著名: 一为聘请知州魏权中、举人韩霖、桑拱阳及傅山来院讲学; 二为每月三集,集中讲学。初集讲圣谕,由地方绅士和乡老参加; 再集讲经济,举凡国家大政、地方利害均在讨论之列,从政人员必须参加;三集讲制举,科举应试的士子参加。
明清之际十余年兵荒马乱,山西属于重灾区,三立书院也受到一定冲击。顺治十七年(1660 年),山西巡抚白汝梅鉴于三立祠地势湫隘,又经兵燹,遂在府城东南侯家巷购地,另建三立祠。此次重建的三立书院总面积大为扩展,共花费白银2130余两。雍正十一年(1733 年),三立书院正式改名“晋阳书院”,重建后的晋阳书院旧址即在现今的太原市公安局院内。自顺治十八年直至光绪二十七年(1661-1901年)240 年间,晋阳书院一直设在候家巷。1902 年成立山西大学堂,大学堂总教习兼中学专斋总理谷如墉,即为晋阳书院最后一任山长,晋阳书院的学生也全部进入山西大学堂。

山西大学堂校门

令德堂书院

山西大学堂与“令德堂书院”也有历史渊源。光绪八年(1882 年),张之洞继任山西巡抚,针对山西“士气衰微而废其学”“此时唯苦人才不足”的情况,到任伊始,即与学使王学庄商议,并会衔入奏,请于太原府署西偏明代晋藩宝贤堂旧址别建精庐,仿阮元学海堂诂经精舍例,设“令德堂书院”。后因王学庄丁忧去官,张之洞又与新任学使凤歧悉心规划,在桥头街(今太原市人民公园)觅屋开办。令德堂课士,仍为传统书院规制,其延聘的山长、分校都是对经史古学造诣颇深的儒生,如主讲王轩(洪洞人)为同治壬戌进士,幼治三礼,习许氏《说文》,于地理学、金石考订颇有成就; 协讲杨笃(乡宁人) 为同治甲子举人,精三礼,尤专训诂。王、杨均为光绪《山西通志》的主要纂修人; 协讲杨深秀(闻喜人) 为光绪丁丑进士,治朴学,为后来著名的“戊戌六君子”之一。

令德堂创始人张之洞
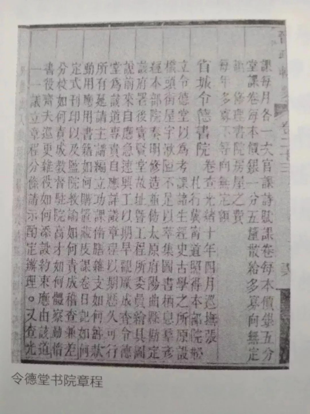
1884 年,张之洞饬冀宁道详议令德堂章程六条四十二目(载光绪《晋政辑要》卷23,《礼制,学校六》),举凡延请主讲,编立功课,修缮杂支,书籍购置,课卷日记,监院教谕,书役斋夫, 巡更杂役,均一一议立章程,“以期历久可行”,令德堂学生最初仅30人,后陆续增至70人,“其后通省人才多出于此”。据载,1885 年乙酉乡试,有文能运用许慎《说文》及史学辞章具有根底者皆属令德堂肄业生。值得提起的是,戊戌维新高潮期间,令德堂肄业生增至120 人,院长屠仁守进行教学改制,添设经济课四门——政治时务、农功物产、地理兵事、天算博艺,令学生任选一门,广览众参。令德堂的与时俱进,适应了社会变革的需求。

令德堂书院章程
光绪二十六年(1900 年) 义和团运动发生后,外籍教士安怀珍、刘博第等强占令德堂为临时教堂,令德堂于是停办,其肄业生后来一律转入新设立的山西大学堂,中学专斋最初的教学内容和方法多承袭令德堂旧制,而山西大学堂创办人之一的谷如墉及教师田应璜、张友桐、董化时等都是令德堂早年的毕业生。
清末书院改学堂是自上而下的社会潮流,山西大学堂就是在晋阳书院和令德堂书院的基础上创建的。
|来源:《山大往事》、青莲读书会